CIELab颜色空间是颜色量化中常用的测色空间,这是一个均匀的颜色空间,是由ANLAB颜色空间简化而来,其在不同的行业有着广泛的应用。本文对CIELab颜色空间色度值及色差值的计算过程做了简要介绍。

CIELab颜色空间色度值的计算过程:
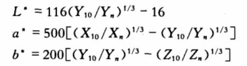
CIELab颜色空间来源于对ANLAB颜色空间的简化,是对三刺激值CIE XYZ颜色空间的非线性变换,即,

式中,X、Y、Z表示颜色样品的三刺激值,Xn、Yn、Zn表示同样照明条件下一个完全漫反射体表面的三刺激值。首先通过将三刺激值做归一化处理(即X/Xn、Y/Yn、Z/Zn),使用vonkries色适应变换函数,然后在通过CIELab公式中的立方根函数进行非线性压缩。
从CIELAB的计算公式来看一下CIELAB的计算过程:
1.需要两组三刺激值:刺激本身的XYZ和参考白的Xn、Yn、Zn。
2.接着这两组三刺激值被用到一个变异的Von Kries色适应变换中。刺激的XYZ经过参考白的规范化处理(X/Xn,Y/Yn,和Z/Zn,根据Von Kries假说,这种规范化处理就是在参考光源下的色适应)。这里三刺激值不是像通常的色适应变换那样首先转换成视锥响应,而是直接转换成适应后的视锥响应,称这样的色适应过程为一个错误的Von Kries色适应变换(该提法是与正确的Von Kries色适应变换相比较,正确的Von Kries色适应变换是将三刺激值先转换视锥响应再转换适应后的视锥响应)。
3.在CIELAB的计算公式中,三次方根表示对适应后视锥响应的一个非线性压缩。
4.接下来这些信号再组合3个响应维数,与对立色学说的黑一白、红一绿、黄-蓝响应相对应。
5.最后,在等式中乘上合适的常量以生成所要求的均匀感知空间和3个维数之间合适的关系。
6.CIELAB的L*,a*和b*三维组合成一个笛卡尔坐标,形成一个三维的色空间(圆柱形的坐标系统)。
7.圆柱形的坐标系统又提供了对彩度和色相的预测。
从上面的过程可以看出CIELAB以一个刺激和参考白点的三刺激值作为输入值,最后得到明度、彩度、色相,因此是一个简单的色貌模型。
CIELab颜色空间色差值的计算过程:
CIELab色差公式是ANLAB色差公式的简化模型。1976年被推荐替代ANLAB以提高在工业应用上的均匀性和简单性。L*a*b*公式以两种坐标形式(直角坐标和柱坐标)给出。
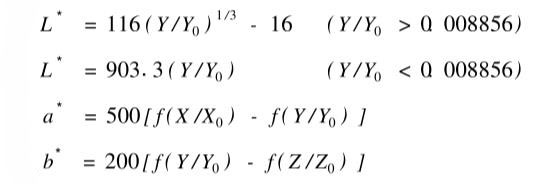
1.直角坐标

这里,X、Y和Z是色样的三刺激值,而X0、Y0和Z0是照明光源的三刺激值。
总的色差的计算公式为:

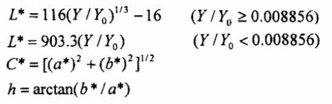
2.柱坐标

其中C*定义为米制彩度,h定义为米制色调角(0度~360度)。
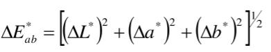
柱坐标形式的色差为:

本文由MOBCCS整编收集于网络,如果您还想了解更多关于MOBCCS色差宝的文章,请点击查看MOBCCS色差宝的其它文章,请关注MOBCCS色差宝厂家官网(http://www.mobccs.cn)。