CIELAB颜色空间模型是颜色测量中最为常见的一个测色模型,它是一个均匀的颜色模型,在进行色差测量时,能与人眼之间保持良好的一致性,因此在颜色检测与色差测量中有着广泛的应用。本文对CIELAB颜色空间模型及CIELAB色差表达式做了介绍。

CIELAB颜色空间模型介绍:
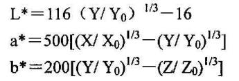
CIELAB是一个较简单的色空间模型,它所涉及到的参数也是较少的。对于它的计算来说,CIELAB的输入数据是颜色样品的三刺激值X,Y,Z和参考白Xn,Yn,Zn(这是CIE 标准照明体照射在完全漫反射体上,再经过完全漫反射体反射到观察者眼中的白色刺激的三刺激值),它的输出是明度L*,彩度C*ab和色调角hab。
CIELAB的色品表达式可满足必需的均匀感知空间和LAB三维坐标关系:

式中式中:L*为米制明度;a*,b*为米制色品。CIELAB的L*,a*,b*类似于笛卡尔坐标,构成了一个三维的彩色空间。这个彩色空间也可以用一个圆柱坐标系来描述,这个圆柱坐标系提供了对彩度C*ab和色调hab的预测,其计算公式如下:

C*ab与a*和b*有相同的单位,非彩色的C*ab=0.0;色调hab是一个正的度数,从0°开始,以a*的正轴逆时针方向旋转。
CIELAB色差表达式:
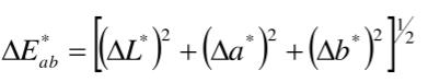
CIELAB色差公式是基于近似均匀的三维颜色空间建立的,由直角坐标L*、a*、b*构成,国际照明委员会推荐使用。该色差公式建立在CIELAB颜色空间之上,在L*a*b*公式中,L*表示明度,a*表示红色和绿色的成分,b*表示黄色和蓝色的成分。色差是指用数值的方式表示两种颜色给人色彩感觉上的差别,若两个颜色都是按照L*a*b*标定的,则两个颜色之间的色差可以用欧式距离来计算:

其中,△L*是CIELAB空间的明度差,△a*是CIELAB空间的红绿色光差,△b*是CIELAB空间的黄蓝色光差。
△a*和△b*表示样本和标准在ab*平面上位置的改变。如果将CIELab均匀颜色空间转化为极坐标空间,则能更好地表示色差的性质,极坐标空间用LCH表示。因此,CIELAB色差公式也可以用明度差△L*、彩度差△C*ab和色相差△H*ab来定义,即:

本文由MOBCCS整编收集于网络,如果您还想了解更多关于MOBCCS色差宝的文章,请点击查看MOBCCS色差宝的其它文章,请关注MOBCCS色差宝厂家官网(http://www.mobccs.cn)。