Hunter Lab均匀颜色空间是色差宝常见测色空间,该测色空间是三维测色空间,由L、a、b三个参数构成,与CIELab均匀颜色空间一样,都是由X、Y、Z经数学计算而来。本文对色差宝Hunter Lab均匀颜色空间含义、色差公式及色差符号做了简要介绍。

Hunter Lab均匀颜色空间介绍:
Hunter Lab均匀颜色空间由L、a、b三个参数构成,L表示亮度,范围是0(黑色)到100(白色);a表示红-绿坐标,正值表示红色,负值表示绿色;b表示黄-蓝坐标,正值表示黄色,负值表示蓝色。它是基于特定的数学转换和经验公式建立的,相对简单直观。该颜色空间计算相对简便,对一些特定的应用场景,如在一些对计算速度要求较高或对颜色精度要求不是极高的工业生产中,具有一定的实用性。但与CIELAB相比,其均匀性较差,颜色空间中的距离与视觉感知的色差一致性不如CIELAB颜色空间。常用于一些对颜色测量精度要求不是特别高的行业,例如在食品行业中,可用于快速评估食品的颜色特征,判断食品的新鲜度或品质。
Hunter Lab均匀颜色空色差公式:
Hunter Lab颜色空间是一个基于对立颜色学说的三维矩形空间,与CIELab色彩体系相类似,同一颜色在这两个颜色空间中的数值是不同的,Hunter Lab在颜色空间的蓝色部分是收缩的,CIELab在颜色空间的黄色部分是过度扩张的;都是由CIEXYZ体系导出的。其表达式为:

其中:L为明度;a、b为色度;L值越大,物体颜色越白;L值越小,物体颜色越黑。沿(+a)方向红色逐渐加深,沿(-a)方向绿色逐渐加深。沿(+b)方向黄色逐渐加深,沿(-b)方向蓝色逐渐加深。X、Y、Z为物体的三刺激值;Xn、Yn、Zn为完全反射面的三刺激值;Ka、Kb为调整因子。
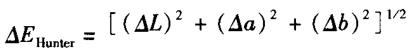
Hunter Lab色差公式和CIELAB公式相似,该公式中L表示物体反射光的亮度,a和b分别表示反射光中的红绿成分和黄蓝成分。其表达式如下:

式中:△L、△a、△b分别为两个物体表面色的明度差和色品坐标差。
HunterLab均匀颜色空色差公式符号含义:
由于传统与习惯的影响,目前仍有许多用户沿用享特Lab色空间及色差公式,对于标准照明体C,Hunter Lab系统参量与CIE三刺激值有如下的简单关系:

△EH为亨特色差。
从以上可以看出,色差的测量,是以两种测色三刺激值的测量为基础的,纯粹是一个计算量,一般来说总的色差应以△EH表示,但习惯上检测人员也常用构成色差的各个分量差来表示两种颜色在各个分量方向的差异。如△L(明度差),△a(红绿度差)、△b(黄蓝度差),△C(彩度差)或hab或(色调角差)等,这些分量的差异,对检测人员分析偏色更为实用。
本文由MOBCCS整编收集于网络,如果您还想了解更多关于MOBCCS色差宝的文章,请点击查看MOBCCS色差宝的其它文章,请关注MOBCCS色差宝厂家官网(http://www.mobccs.cn)。