色差宝在测量颜色时,可以给出不同颜色空间的色度值,其中就包括CIELab颜色空间的L、a、b值和CIELch颜色空间的L、c、h值,其中CIELch颜色空间是从CIELab颜色空间推导出来的一个颜色空间,是CIELab颜色空间的极坐标表示方法。本文对色差宝L、a、b值与L、c、h值转换关系做了介绍。

色差宝L、a、b值含义介绍:
色差宝L、a、b值是基于CIELab颜色空间,该颜色空间是由明度(L)和两个色度分量a、b共三个分量构成,L表示颜色的明度,也常被称作亮度,取值范围在[0,100],表示从纯黑到纯白。a表示从绿色到红色,-a最小表示绿色,+a最大表示红色,取值范围在[-128,127],-a到+a是绿色到红色颜色渐变的过程。b表示从蓝色到黄色的范围,同样原理,-b到+b是由蓝色逐渐过渡到黄色的过程,取值范围在[-128,127]。在CIELab颜色空间中的色差度量是采用L、a、b值定量度量,CIELab色差公式以标准为中心,分别测量L、a、b值的偏差,找出色差产生的原因。
△L=L(实测)-L(标准板):表示明度差异。△L偏差为正时,实测明暗度偏浅;△L偏差为负时,实测明暗度偏深。
△a=a(实测)-b(标准板):表示红绿差异。△a偏差为正时,实测偏红;△a偏差为负时,实测偏绿。
△b=b(实测)-b(标准板):表示黄蓝差异。△b 偏差为正时,实测偏黄;△b偏差为负时,实测偏蓝。
CIELab色差公式:△E=[(△L)2+(△a)2+(△b)2]1/2,△表示差值,△E为总色差值。
从CIELab色差公式看出,其度量方式由明度、红绿色调、黄蓝色调3个数值决定。
色差宝L、c、h值含义介绍:
色差宝L、c、h值是基于CIELch颜色空间,该颜色空间是由CIELab模式推导出来的一种表达方式,其中L表示明度值(Lightness)与CIELab模式中的L*相同,取值范围0~100(0即最暗,100即最亮)。C表示饱和度值(Chroma),取值范围0%~100%(0%最灰暗,100%最鲜艳)。h表示色相(Hue)也称为色调角度值,取值范围0°~360°,表示所处的光谱位置信息。红色、绿色、蓝色在色盘上分别相隔120°(红色0,绿色120°,蓝色240°)。在CIELch颜色空间中的色差度量是采用L、c、h值定量度量。CIELch色差公式以标准为中心,分别测量L、a、b、C、H的偏差,找出色差产生的原因。
△L=L(实测)-L(标准):表示明度差异。△L偏差为正时,实测明暗度偏浅;△L偏差为负,实测明暗度偏深。
△C=C(实测)-C(标准):表示饱和度差异。△C偏差为正,实测偏鲜;△C偏差为负,实测偏土。
△H=[(△Eab)2-(△L)2-(△C)]1/2表示色调差异。△H偏差为正,实测偏逆时针方向色调;ΔH偏差为负,偏顺时针方向色调。
CIELch色差公式:△E=[(△L)2+(△C)2+(△H)2]1/2,△表示差值,△E为总色差值。
从CIELCH色差公式看出,其度量由明度、彩度、色调3个数值决定,式中包含明度、彩度、色调3个因素。当该颜色的彩度C>10或L在27左右,C>18时,我们认为该颜色是鲜艳颜色,一般采用CIELCH色差公式。
色差宝L、a、b值与L、c、h值转换关系:
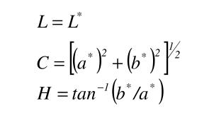
色彩空间转换意味着将一个色彩空间中的颜色特征信息转换到另一色彩空间以,获得相应的颜色信息,即用不同色彩空间中的数据来表示相同的颜色。CIELch色彩空间是从CIELab色彩空间推导出来的,一种颜色可以用Lab表示,也可以用Lch表示。在CIELab和CIELch颜色空间中,L值的含义是相同的,都代表颜色的亮度或明度,取值范围通常为0到100,0表示黑色,100表示白色。c值代表彩度,即颜色的饱和度或纯度,其计算公式为c=(a2+b2)1/2。h值代表色调角,用于表示颜色的具体色相,可通过公式h=arctan(b/a)计算(需注意处理象限转换)。
综合上述的描述,可以将L、a、b值与L、c、h值的关系用相应的式子表示出来,也就是转换关系式:

本文由MOBCCS整编收集于网络,如果您还想了解更多关于MOBCCS色差宝的文章,请点击查看MOBCCS色差宝的其它文章,请关注MOBCCS色差宝厂家官网(http://www.mobccs.cn)。