色差宝作为测色工具,其配置了多种类型的颜色空间,其中就包括CIELuv和CIELab颜色空间。它们都属于均匀颜色空间,且使用三个维度对颜色进行描述。本文对色差宝CIELuv和CIELab颜色空间使用上区别做了简要介绍。

色差宝CIELuv颜色空间介绍:
在CIELuv颜色空间中,L*为明度,u*、v*为色品指数。三者相互垂直构成色空间来描述相对应的亮度和色度量:垂直的轴是明度L*,位于水平面且互相垂直的是色品指数u*和v*。作为该空间三维直角坐标的明度L*和色品坐标u*、v*的计算公式为:

在CIELUV颜色空间中,两个颜色之间的色差△E*uv为:

色差宝CIELab颜色空间介绍:
在CIELab色空间中,L*表示米制明度,a*和b*表示米制色度。a*和b*表示不同的色调方向:a*为红一绿色方向,a*为正时表示的是红色方向,a*为负时表示的是绿色方向;b*为黄一蓝色方向,b*为正时表示的是黄色方向,b*为负时表示的是蓝色方向。作为该空间三维直角坐标的明度L*和色品坐标a*、b*的计算公式为:

在CIELAB颜色空间中,两个颜色之间的色差△E*ab为:

色差宝CIELuv和CIELab颜色空间使用上区别:
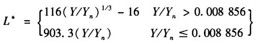
在CIELUV和CIELAB两个颜色空间中明度指数L*是一致的,即:

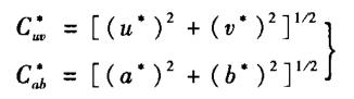
在等明度平面上,坐标原点到色品坐标(u*,v*)或(a*,b*)的距离为彩度C*uv或C*ab,即:

在CIELUV和CIELAB颜色空间中色调角huv和hab分别为:

在等明度的a*b*平面上,+a*为红色方向(值愈大表示对应的颜色愈红),-a*为绿色方向(值愈小则颜色愈绿),+b*为黄色方向(值愈大则颜色愈黄),-b*为蓝色方向(值愈小则颜色愈蓝)。
色差也可以用明度差(△L*)、彩度差(△C*)和色调差(H*)来定义,即:

本文由MOBCCS整编收集于网络,如果您还想了解更多关于MOBCCS色差宝的文章,请点击查看MOBCCS色差宝的其它文章,请关注MOBCCS色差宝厂家官网(http://www.mobccs.cn)。