分光色差宝在测量样品颜色时,一般是以CIELab颜色空间为依托,将颜色用L、a、b三个数值表示出来。对于分光色差宝给定的a、b值,许多的初始用户不知道怎么看。那么,分光色差宝测量的a、b值是什么意思?怎么看?本文对分光色差宝a、b值做了介绍。

分光色差宝测量的a、b值是什么意思?
分光色差宝测量的a、b值是基于CIELab颜色空间的色度值,a和b表示的是色度坐标,a表示洋红色至绿色的范围,取值范围为[127,-128],b表示从黄色至蓝色的范围,取值范围为[127,-128]。
a*通道显示的是从深绿→50%灰(中性灰)→品红色。在这个通道的灰度图中,暗表示绿色:小于128(即50%)的灰为绿色,灰度值越接近50%灰,绿色的饱和度越小,越远灰度值越小于50%灰,绿色的饱和度越高。而亮的一端为品红色,大于128(即50%灰)的为品红色,越亮,饱和度越高,反之,接近中性灰(较暗的亮区)数值越接近128度灰,饱和度越小。
b*通道显示的是从青→50%灰(中性灰)→黄色,通道灰度图的亮区是黄色区域,亮度越高,饱和度越高,越接近50%中性灰,饱和度越低,通道灰度图暗部为蓝色区域,显示区域越暗,饱和度越高,越接近50%中性灰,蓝色饱和度越低。
a值表示的就是红绿值,通过红、绿正负来表示,b值表示的是黄蓝值,通过黄、蓝正负两个方向来表示。根据测出的a、b数值,结合L值就可以对被测物体的偏色情况进行判断。
分光色差宝测量的a、b值的作用:
在CIELab颜色空间中,a与b值表示颜色感觉中的彩色成分。当a和b的值均为0时,颜色的饱和度为0,即非彩色,其坐标点落到纵坐标轴上。所以,所有的非彩色都位于纵坐标轴上,从下到上依次为黑、深灰、灰、浅灰和白。颜色的坐标点距纵坐标轴越远,则颜色就越鲜艳。根据这一性质,可以用a*和b*的值进一步计算色调和饱和度,并使其与颜色的感觉更加接近。

根据a*和b*值的正负,可以判断色调角在0°~360°内的变化:如a*>0,b*≥0,则0≤h*ab<90°;如a*≤0,b*>0,则90°≤h*ab<180°;如a*<0,b*≤0,则180°≤h*ab<270°;如a*≥0,b*<0,则270≤h*ab<360°。
在a*-b*平面上,色调角在0°~90°范围内,a*与b*值都大于0,其间的颜色都由红和黄原色混合而成;色调角在90°~180°范围内,a*值小于0,b*值大于0,其间的颜色由黄和绿原色混合而成;色调角在180°~270°范围内,a*与b*值都小于0,其间的颜色由绿与蓝原色混合而成;色调角在270°~360°范围内,a*值大于0,b*值小于0,其间的颜色由蓝和红原色混合而成。
分光色差宝a、b值与c、h值关系:
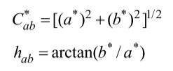
c值代表彩度,即颜色的饱和度或纯度,其计算公式为c=(a2+b2)1/2。a值和b值分别表示颜色在红/绿轴和黄/蓝轴上的色度值,a、b值的绝对值越大,c值越大,颜色越鲜艳;当a、b值都为0时,c值为0,颜色为灰色。
h值代表色调角,用于表示颜色的具体色相,可通过公式h=arctan(b/a)计算(需注意处理象限转换)。规定从正a轴(红色)开始为0°,逆时针为正,正b轴(黄色)为90°,负a轴(绿色)为180°,负b轴(蓝色)为270°。例如,若a>0,b≥0,则0°≤h<90°,颜色位于第一象限,偏向红色和黄色之间;若a≤0,b>0,则90°≤h<180°,颜色位于第二象限,偏向黄色和绿色之间。
本文由MOBCCS整编收集于网络,如果您还想了解更多关于MOBCCS色差宝的文章,请点击查看MOBCCS色差宝的其它文章,请关注MOBCCS色差宝厂家官网(http://www.mobccs.cn)。