颜色空间也称色彩模型,是一种特定的颜色组织,是对色彩的一种描述方式。色差宝作为颜色检测的光电设备,其内部配置了多种颜色空间,可以为颜色的描述提供客观统一的描述标准。本文对色差宝常用颜色空间及不同颜色空间之间的转换方法进行了介绍,感兴趣的朋友可以了解下!

什么是颜色空间?
颜色空间也称色彩模型,是一种特定的颜色组织,是对色彩的一种描述方式。实际应用中常用的颜色空间有RGB、CMY、HSV、HSI等,其中RGB颜色空间主要面向硬件设备,如彩色显示器、打印机等;CMY颜色空间广泛应用于工业印刷行业;HSI颜色空间和HSV颜色空间主要面向彩色处理为目的的应用。
此外,国际照明委员会于1931年开发的CIEXYZ颜色空间是一个非常重要的基色空间,它是CIE系列颜色系统的基础,但CIEXYZ颜色空间使用比较复杂且不够直观。于是,CIE在1976年推荐了两个均匀颜色空间,CIELUV颜色空间和CIELAB颜色空间。
所谓颜色空间的均匀性,是指当两个或两个以上颜色相互进行色差测量时,如果存在色差,其色差大小应与人眼所感受到的差别相一致,也就是说度量值较小时,目视色差感觉就较小,反之则较大。
色差宝常用颜色空间有哪些?
1.RGB颜色空间
色彩混合的基本定律表明:自然界中任何一种色彩均可用红(Red)、绿(Green)、蓝(Blue)三种原色光混合产生,这在几何上能够以R、G、B三个互相垂直的轴所构成的空间坐标系统来表示,称为RGB颜色空间。

RGB颜色空间是由六块色片所包围的立方体区域构成的,如上图所示,其内部的每一个点都代表着一种不同的颜色。每一点的颜色均由R、G、B三个通道中的灰度值所决定,每个通道中的灰度值为0~255,共256个,当三个通道共同作用时,就有256×256×256种组合,形成167.7万多种颜色。在数字图像中,改变像素在通道的灰度值,就可以改变像素的颜色。立方体的八个顶点分别是:红、绿、蓝、青、洋红、黄、黑、白。立方体对角线的两端,分别对应着互补色,红-青,绿-洋红,蓝-黄,黑-白。当R=G=B时,图像的像素颜色就在黑白之间渐变,R=G=B=0时,像素最黑,R=G=G=255时,像素最白,R、G、B不全相等时,像素就是有色的。
RGB颜色空间主要是面向硬件的模型,最常用的用途就是显示器系统和扫描仪。由于不同型号的显示器显示同一图像时会有不同的色彩呈现效果;不同型号的扫描仪扫描相同图像时,也会得到不同的彩色图像数据。因此,RGB颜色空间被称为与设备相关的颜色空间。
2.CIEXYZ颜色空间
为了从基色出发定义一种与设备无关的颜色模型,CIE的颜色科学家在RGB模型的基础上,用数学方法从真实的基色推导出理想的三基色,创建了一种新的颜色系统,使得印染相关行业能够明确指定产品的颜色[32]。CIEXYZ颜色空间是其他CIE系列颜色空间的基础,它选用相应于R、G、B三原色的三个理想原色作为三基色,其他所有颜色都由这三种颜色导出,通过相加混色或者相减混色,任意色调可应用不同量的基色混合产生。与RGB颜色空间相比,X、Y、Z的值都是正的,更适用于颜色计算。CIEXYZ颜色空间模型如下图所示。

CIEXYZ颜色空间的一个主要问题在于目测评估方面的不均匀性。也就是说在样品对之间感知颜色的同等差异不对应于三刺激值的同等差异。CIEXYZ颜色空间的视觉非均匀性也带来一些不良后果,例如肉眼刚好能察觉到色度不同的两种绿色所给出的三刺激值之差,要比已经调整到与此对绿色有相同色差的两种红色或蓝色样品的三刺激值之差大得多。说明在CIEXYZ颜色空间中,单一的颜色容限用于所有的色调是不可能的。
3.CIELAB颜色空间
CIELAB颜色空间是CIE于1976年推荐使用的,其克服了颜色空间不均匀的问题,目前它是一个在颜色和色差表述领域非常流行的颜色体系,在工业界得到广泛应用,特别是在纺织印染、涂料制造、塑料着色等行业的产品颜色质量控制中占有重要地位。其颜色空间模型如下图所示。

CIELAB颜色空间模型由L*、a*和b*三个分量组成,L*值是对颜色明度的度量,数值在0(绝对黑)到100(绝对白)之间变动,a*和b*表示颜色对立维度,其中a*值是对颜色红-绿特性的度量,取值范围在[127,-128]之间,红色调为正值,绿色调为负值;而b*值是颜色的黄-蓝特性,取值范围同样是[127,-128],黄色调为正值,蓝色调为负值。
与RGB颜色空间相比,CIELAB颜色空间是一种基于人眼生理特征的颜色系统可用数字化的方法表达人眼的视觉感受,并且CIELAB颜色空间分布均匀,两个颜色坐标点之间的几何距离,与人眼感知到的物体色差相一致。同时该颜色空间色域更加宽广,几乎代表了自然界中所有颜色的编码,任何颜色在CIELAB空间中都会有一个准确的数值表示。此外,它还是一种与设备无关的颜色空间。综上所述,将CLELAB颜色空间应用于织物色差检测是一个较为理想的选择。
色差宝XYZ颜色空间转换LAB颜色空间方法:
由于RGB颜色空间不能直接转换为CIELAB颜色空间,需要借助CIEXYZ颜色空间。首先把RGB颜色空间转换到CIEXYZ颜色空间,之后再把CIEXYZ颜色空间转换到CIELAB颜色空间。相关转换公式如式:
1.RGB颜色空间转换到CIEXYZ颜色空间

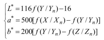
2.CIEXYZ颜色空间转换到CIELAB颜色空间

式中,X、Y、Z 表示物体三刺激值;Xn、Yn、Zn表示CIE标准照明体的三刺激值;L*表示心理明度;a*、b*表示心理色度。
本文由MOBCCS整编收集于网络,如果您还想了解更多关于MOBCCS色差宝的文章,请点击查看MOBCCS色差宝的其它文章,请关注MOBCCS色差宝厂家官网(http://www.mobccs.cn)。